Содержание курса лекцийПоискПомощьДалее

Дифференцирование функций

Дифференцирование скалярной функции одной переменной

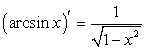
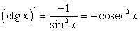
Таблица простейших производных

;

 

;

;

;

;

;

;

;

;

;

;

;

;

;

;

;

.

Содержание курса лекцийДалее
Hosted by uCoz