Содержание курса лекцийПоискПомощьДалее

Дифференцирование функций

Дифференцирование скалярной функции одной переменной

Примеры вычисления производных

Пример 1. Найти производную степенно-показательной функции .

Имеем

.

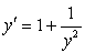
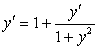
Пример 2. Найти первую и вторую производные неявно заданной функции : .

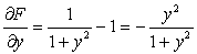
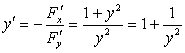
Так как здесь , то ; и первая производная от по есть

.

Эту же производную можно вычислить, дифференцируя по данное соотношение: , откуда .

Дифференцируя полученную производную по , находим вторую производную:

.

Пример 3. Найти первую и вторую производные функции , заданной параметрически: .

Находим производные от и по параметру : , . Первая производная от по есть . Далее дифференцируем по параметру и вычисляем вторую производную от по :

; .

Пример 4. Определить координаты точки , в которой касательная к параболе параллельна прямой . Записать уравнение касательной.

Из условия параллельности двух прямых следует, что значение производной в искомой точке должно быть равно угловому коэффициенту данной прямой, равному 3, т.е.

,

откуда . Значение находим из уравнения параболы: . Уравнение касательной имеет вид

, или .

Содержание курса лекцийДалее
Hosted by uCoz