Содержание курса лекцийПоискПомощьДалее

Дифференцирование функций

Дифференцирование функции двух переменных

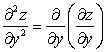
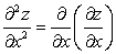
Частная производная второго порядка

; ; .

Содержание курса лекцийДалее
Hosted by uCoz